Bai, D., et al. Impact of Side Chain Structure and Aglycon Carbonyl Group on the Immunostimulatory Activities of Semisynthetic Saponin Adjuvants. ACS Pharmacol Transl Sci, 2026 Feb 20, 9(3):706-715, PMID: 41852640
- The saponin QS-21, derived from Quillaja saponaria, has been clinically successful
in vaccines due to its ability to elicit robust humoral and cellular immunity,
exemplified by its inclusion in vaccines like Shingrix and Mosquirix. Despite this
success, the molecular mechanisms underlying saponin adjuvant activity remain
only partially understood, prompting research into structure-activity relationships
(SAR) to optimize their efficacy and safety. This work focuses on semisynthetic
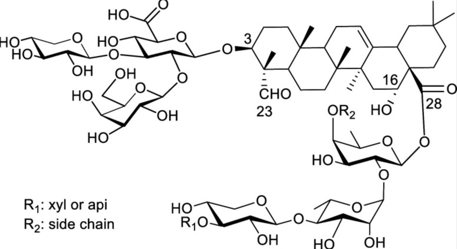
derivatives of Momordica saponins, aiming to elucidate how specific structural
modifications, particularly side-chain length and key functional groups, affect
immunostimulatory activity. Understanding these relationships is vital for designing
more effective, targeted vaccine adjuvants with improved safety profiles and
stronger immune responses. - The semisynthetic saponins, such as VSA-1 and VSA-2, derived from Momordica
saponins, show promising immunostimulatory activity comparable to the traditional
QS-21 from Quillaja saponaria. The study demonstrates that specific structural
features, like the side-chain length and the integrity of the C23 carbonyl group,
critically influence their adjuvant efficacy. Notably, some VSA derivatives induce
strong IgG responses similar to QS-21, and their synthetic accessibility from natural
precursors could offer advantages in production consistency and sustainability. - Comment from DK: As we stated above, further research, including clinical trials, is
needed to validate the efficacy, safety, and practical application of VSA-1 and VSA-2
in humans. Further comparative studies assessing their safety profiles, toxicity, and
overall immunological performance are necessary. Currently, these semisynthetic
saponins represent promising alternatives that may offer improved or tailored adjuvant
properties over traditional QS-21 in the future.
Click here to access the full scientific paper.
Recent Posts
Kinsey, C., et al. A Versatile Reversed-Phase Liquid Chromatography Charged Aerosol Detection Method for Streamlined Monitoring of QS-21 Content and Stability in Liposomal Adjuvant Formulations. https:// doi.org/10.26434/chemrxiv.15002275/v1. Posted on 21 April 2026 (this preprint has not been peer reviewed. Data may be preliminary)

